Test 2 - Exponentielles - Equations - Bilan

  Exercice 1 :  Bonne Réponse  -  Exercice 2 :  Bonne Réponse  - Exercice 3 :  Mauvaise Réponse

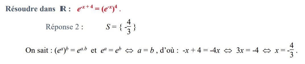
Corrigé 1


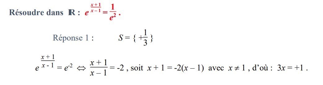
Corrigé 2


Corrigé 3